[게임수학] Matrix 행렬
Matrix 행렬
행렬 곱셈




Digonal Matrix 대각 행렬
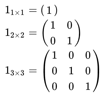
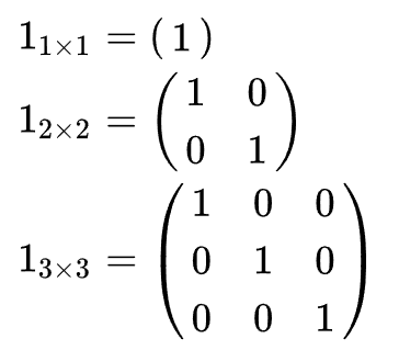
Unit Matrix(단위 행렬) 또는 Identity Matrix(항등 행렬)


Inverse Matrix 역행렬
사각행렬 A의 곱셈에 대한 역원 A-1을 말한다. A A-1 = E(Identity Matrix)
Transpose Matrix 전치행렬
행과 열을 뒤집은 행렬. 행렬 내의 원소를 대각선축을 기준으로 서로 위치를 바꾼 것을 말한다. 즉, m×n 행렬의 전치행렬은 n×m 행렬이 된다. 기호는 AT로 나타낸다.
Orthogonal Matrix 직교행렬
직교행렬 x 전치행렬 = 단위행렬, 직교행렬의 전치행렬은 역행렬이다.
Zero Matrix 영행렬
모든 성분이 0인 행렬.

Transformation Matrix 행렬과 변환
Scaling Matrix 크기 변환 행렬
Rotation Matrix
Translation Matrix
Reflection Matrix
x축을 중심으로 θ만큼 회전
y축을 중심으로 θ만큼 회전
z축을 중심으로 θ만큼 회전

https://namu.wiki/w/%EC%97%AD%ED%96%89%EB%A0%AC
역행렬 - 나무위키
행렬에 다른 행렬을 첨가한 형태의 행렬을 첨가 행렬(augmented matrix)이라 한다. 이 방법을 통하여 역행렬을 구하는 것은 아래의 절차를 따르면 된다. 행렬 A A A의 오른쪽에 같은 크기를 갖는 단위
namu.wiki
https://namu.wiki/w/%EC%A0%84%EC%B9%98%ED%96%89%EB%A0%AC
전치행렬 - 나무위키
전치행렬(轉置行列, transpose)이란 행렬 내의 원소를 대각선축을 기준으로 서로 위치를 바꾼 것을 말한다. 즉, m×n m\times n m×n 행렬의 전치행렬은 n×m n\times m n×m 행렬이 된다. 이때 기호는 전치를
namu.wiki
'⭐ DirectX > 게임수학' 카테고리의 다른 글
| [게임수학] 왼손 좌표계 오른손 좌표계 (0) | 2022.05.25 |
|---|---|
| [게임수학] Vector (기하)벡터 (0) | 2022.05.21 |
| [게임수학] 삼각함수 (0) | 2022.05.21 |
댓글
이 글 공유하기
다른 글
-
[게임수학] 왼손 좌표계 오른손 좌표계
[게임수학] 왼손 좌표계 오른손 좌표계
2022.05.25 -
[게임수학] Vector (기하)벡터
[게임수학] Vector (기하)벡터
2022.05.21 -
[게임수학] 삼각함수
[게임수학] 삼각함수
2022.05.21